Toggle navigation
圣歌sing-e
主页
歌谱
歌唱
其它
神爱世人
甚至将他的独生子赐给他们,叫一切信他的,不至灭亡,反得永生。—约翰福音3:16
歌谱
目录
主题
搜索
目录:fuyinshu/john14-27.gif   主题:福音书/约翰福音14-27.gif
目录:fuyinshu/john15-1.gif   主题:福音书/约翰福音15-1.gif
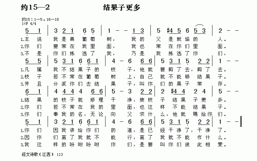
目录:fuyinshu/john15-2.gif   主题:福音书/约翰福音15-2.gif
目录:fuyinshu/john15-3.gif   主题:福音书/约翰福音15-3.gif
«
‹
43
44
45
46
47
48
49
›
»